How cells make proteins
- DNA is a polymer which is formed from many nucleotides.
- A DNA nucleotide is made from 2 sugar phosphate backbones, in between which are nitrogen bases which can hydrogen bond to each other. DNA is double stranded.
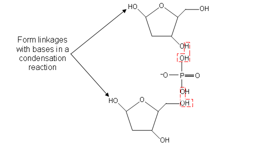
- The sugar phosphate backbone is made from a deoxyribose sugar attached to a phosphate group; the two molecules bond together in a condensation reaction.
- There are four possible bases in between the two sugar phosphate backbones.
- The four possible bases are the purines: adenine and guanine, and the pyrimidines: cytosine and thymine.
- Adenine is the complimentary base to thymine and forms two hydrogen bonds with it. Cytosine is the complimentary base to guanine and forms three hydrogen bonds with it.
- The two strands of DNA become paired off with each other to form a double helix (proposed by Francis Crick and James Watson in 1953).
- Crucial to the double helix arrangement are the fact that the complimentary nitrogen bases can hydrogen bond with each other:
- The interactions between other groups hold the DNA molecule into a double helix.
- It is the nitrogen bases on the DNA molecule that code for proteins.
- The code in DNA is a triplet code; three bases code for each amino acid (three bases make up each gene).
- Because there are three pieces of code that are needed for each amino acid, and there are four bases that each of the three pieces of code can take, there are 64 combinations of code, yet there are only 20 amino acids.
- Thus, some of the amino acids have more than one DNA code.
- To synthesis proteins, the information in the DNA has to get into the cytoplasm of the cell, and then to the ribosomes.
- DNA is too large to leave the nuclear envelope. A copy of the information in the gene is made in the form of a smaller molecule; this smaller molecule is Messenger RNA, or mRNA. mRNA is small enough to leave the nuclear envelope.
- The differences between RNA and DNA are:
- DNA is made from the deoxyribose sugar, whereas RNA is made from the ribose sugar.
- The base thymine (DNA) is replaced by Uracil in RNA.
- DNA is double stranded (two sugar phosphate backbones), whereas RNA is single stranded.
- Each DNA molecule contains the code for all the proteins needed in the body, each mRNA molecule codes for only one protein.
- Once the mRNA strand has been synthesised from the DNA, it moves out of the nucleus to a ribosome.
- Transfer RNA (tRNA) is now used to carry amino acids to the correct place, according to complimentary base pairing rules.
- At the base of the molecule is a group of three unpaired bases called the anticodon. This code determines which amino acid is carried and makes the tRNA molecule specific to one type of Amino Acid.
- On the tRNA molecule is an OH group which, with the aid of enzymes, forms an ester bond with the COOH group on a specific amino acid.
- The anticodon on the tRNA molecule forms temporary hydrogen bonds with complimentary codons on the mRNA molecule. The amino acids on two adjacent tRNA molecules react together forming a peptide bond.
- This process continues down the length of the mRNA molecule forming a polypeptide.
- As previously mentioned, the tRNA molecules that bond to the mRNA molecules, have an anticodon that is complimentary to the mRNA codon. Complimentary base pairing happens because the correct pairs of bases have complimentary shapes, with groups in just the right places to allow hydrogen bonding to occur:
- The DNA code is present in every cell in the body (those which contain a nucleus, i.e. not red blood cells); however, certain genes are only switched on in certain cells.
- In addition to just the genes, DNA molecules also contain codes which start or stop RNA production, and other regions which appear to have no function (exons).
DNA Finger Printing
- The sequence of DNA base sequencing in an individual is unique. This sequencing is the same in every cell of the individual’s body.
- This means that a person can be identified from a sample of a cell from their blood, skin, hair, or semen (male).
- The DNA is first extracted from the cell and multiplied up (using the polymerase chain reaction).
- A solution of a particular restriction endonuclease is added to the sample; this cuts the DNA at particular sites, forming a specific pattern of fragments.
- The resulting solution is applied to a gel and is subjected to an electric field in gel electrophoresis (DNA negatively charged due to phosphate group).
- Different sized fragments move at different speeds towards the positive electrode.
- Radioactive tracers are added to specific DNA sites to see how far the DNA fragments travel.
- Photographic film is placed over the gel plate, this produces a series of bands that can easily be compared.
Useful books for revision
Revise A2 Chemistry for Salters (OCR A Level Chemistry B)
Salters (OCR) Revise A2 Chemistry
Home