Pesticides
- Crops must compete successfully for resources in order to survive and produce a good yield.
- If the competition is too fierce, the crop yield can be seriously affected; this can cause huge problems for farmers, who depend upon the crop yield in order to maintain a healthy income.
- Pesticides can be used to alleviate some of the competition that may cause the crop’s yield to decrease.
- Herbicides kill other plants (weeds etc.) which may compete with the crop, insecticides kill insects which eat the crop, and fungicides eradicate moulds which may rot plants/seeds.
- Pesticides are also used to control many disease carrying organisms, such as mosquitoes, which are renowned for spreading the malarial parasite in the tropics.
- The advantages of pesticides must be balanced with their disadvantages; many of them are toxic and can be damaging to human health and the environment if they are not used appropriately.
- They may also kill other organisms other than those which they are intended to kill; this can even be advantageous to the pest; the pesticide may eradicate the pest’s natural predator.
- Other problems include leaching (the pesticide dissolves into water and is transported to the water supply, contaminating it) and assimilation through the food chains (the pesticide in soil builds up through the food chains).
- The perfect pesticide must be:
-
Specific to the target organism.
- Kill at low dosages- only small amounts need to be applied.
- Unable to remain in the soil and travel into the water supply.
- As with developing a new medicine (What’s in a Medicine), developing a new pesticide can be an expensive and time consuming process.
- Many highly active compounds have been developed which are effective at low dosages; others have been designed which satisfy the smaller, specialised markets.
- The process usually starts with the discovery of a new compound which works effectively as a pesticide.
- Chemists will then systematically alter the structure of the compound and then test it on various pests.
- Hundreds of field trials will then be conducted on the substances chosen for development.
- The compound will be judged on its:
-
Ease of manufacture.
- Persistence in soil and leaching losses in drainage water.
- Cost and marketability.
- Toxicity.
- Comparison with other known compounds.
- Patents, which may be owned by someone else.
DDT
-
Fat soluble molecules are usually the most effective pesticides; because they are non-polar, they are able to dissolve in the fatty tissues of the pest and so reach the sites of action rapidly.
- However, their solubility in organic substances may cause them to accumulate and become concentrated up the food chain; bio-accumulation.
- DDT was discovered in Germany, 1939; it has prevented millions of deaths from diseases such as Typhus and Malaria.
- DDT is from the organochlorine insecticides.
- It has several advantages, such as:
-
It is toxic to insects, but not to mammals. This is due to the presence of specific enzymes in mammals (see below).
- It is made in a one-stage synthesis from cheap raw material (low cost).
- A specific enzyme found in mammals, catalyses the removal of HCl from DDT forming the non-toxic product of DDE. DDT is a three-dimensionally shaped molecule that fits into a specific receptor site, whereas DDE is a planar molecule that is unable to fit into the receptor site:
- Some insects have also developed the specific enzyme and are thus resistant to DDT.
- DDT’s major disadvantage is that it is an extremely stable molecule and therefore accumulates in the environment where they can remain for years.
- It has been banned in many countries, but is still used in developing countries due to its low cost.
Parathyroids
The flowers from plants such as chrysanthemums contain their own pesticides; they have been used for centuries as natural insecticides.
- In the 1920’s and 1930’s, the structure of the natural insecticides were worked out; for example, Pyrethrin 1:
- Pyrethrins are ideal insecticides in that they are powerful and are harmless to mammals under normal circumstances.
- Unfortunately, the natural pyrethrins are unstable in light; they are of limited use in agriculture due to their rapid breakdown.
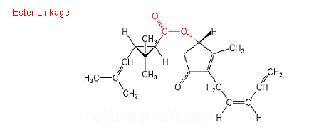
- However, we now have synthetic compounds related to pyrethrins; in 1977, Michael Elliott synthesised permathrin, which was sufficiently stable to use in agriculture:
- Cypermathrin was then later developed from permathrin:
How they work
- The pyrethroids work by binding to membrane proteins within the nerve cells of insects.
- Nerve cell membranes act as channels for the passage into and out of the cells; the pyrethroids work by penetrating the nerve cell membrane, blocking open the sodium channels; this leads to the massive disruption of the nervous system of insects.
- Pyrethroids are much more soluble in fats than in water; they are therefore able to rapidly reach the target cells within the insects.
- The pyrethroids are harmless to mammals, as the ester linkage within them is hydrolysed (by digestive enzymes) to polar products; these polar products are unable to join to the protein membranes and so remain dissolved in aqueous solution.
Soil active pyrethroids
- Even though the pyrethroids are able to kill certain insects which live in the soil, they were found not to do so.
- This was because the pyrethroids became irreversibly bounded to organic matter in the soil, where it became rapidly broken down into inactive compounds.
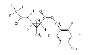
- Chemists at ICI developed pyrethroids with lower boiling points so that more of the molecules would vaporise into the air spaces into the soil. The compound then enters the pests via the air is respires.
- The new pyrethroids was named Tefluthrin and is currently marketed as “Force”:
Herbicides
- As previously mentioned, herbicides increase the yield of a crop by destroying weeds which may be competing with the crop for resources.
- There are two different types of herbicide; total herbicides which destroy all green material and selective herbicides which only destroy selected plant material.
- Paraquat is total herbicide; it is inactive once it reaches the soil, as it is absorbed and decomposed by soil material; therefore it only kills those plants whose leaves it comes into contact with.
- Each soil is only capable of holding a particular amount of paraquat; the strong absorption capacity of the soil.
- If a greater amount of paraquat is then added, it will be displaced into the soil water, damaging growing plants.
- Total herbicides are used to clear a large area of land before the crop is planted.
- Selective herbicides are then used to kill the other plants that may be competing with the desired crop.
- Selective herbicides have been developed which only kill broad-leaved plants, grasses, grassy weeds etc. The pesticide is selected to suit the type of crop being grown.
Useful books for revision
Revise A2 Chemistry for Salters (OCR A Level Chemistry B)
Salters (OCR) Revise A2 Chemistry
Home